Πολυεθνικός ο αγώνας της εφαρμοσμένης επιστήμης: Η Κίνα οδηγεί την κούρσα
Η Πυρηνική σύντηξη είναι το αντίθετο της σχάσης πυρήνων, είναι η συνένωση ελαφρών πυρήνων σε βαρύτερους με ταυτόχρονη απελευθέρωση ενέργειας.
Η πυρηνική σύντηξη, σε αντίθεση με την πυρηνική σχάση, υπόσχεται να προσφέρει στην ανθρωπότητα ατελείωτη, καθαρή ενέργεια, δίχως πυρηνικά απόβλητα, δίχως τραύματα και μολύνσεις του περιβάλλοντος.
Ατελείωτη ενέργεια; Επιστημονικές ουτοπίες θα ‘λεγε κανείς… Κι όμως!
Μια πυρηνική αντίδραση – σύντηξη, που στην περίπτωση της σύντηξης πυρήνων υδρογόνου αποτελείται από τρεις διαδοχικές χημικές αντιδράσεις – στο τέλος ξαναδίνει πίσω ατόφια τα αρχικά χημικά στοιχεία που αντέδρασαν. Κι έτσι το αποτέλεσμα είναι ο κύκλος να μπορεί να συνεχίζεται εσαεί.
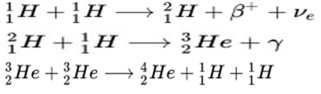
Η παρακάτω εικόνα – πορεία της αντίδρασης- πυρηνικής σύντηξης πυρήνων υδρογόνου τα λέει όλα:

Όπως φαίνεται, στην αρχή αντιδρούν δυο πυρήνες υδρογόνου, δηλαδή δυο πρωτόνια, και παίρνουμε ακτινοβολία β+ και νετρίνα. Κανένα από αυτά δεν είναι ραδιενεργά απόβλητα. Τα νετρίνα ν είναι πολύ ελαφριά και ηλεκτρικά ουδέτερα σωματίδια που αλληλεπιδρούν ασθενώς με την ύλη και το β+ είναι το αντισωμάτιο του ηλεκτρονίου (αντιύλη), δηλαδή ηλεκτρόνιο με θετικό φορτίο.
Στο δεύτερο βήμα παίρνουμε ηλεκτρομαγνητική ακτινοβολία γ (δηλαδή ενέργεια), και ήλιο (3 2Ηe).
Στο τέλος, στο τρίτο βήμα – αντίδραση, μαζί με πυρήνες Ηλίου (4 2He) παίρνουμε πίσω ατόφιους και τους δυο πυρήνες Υδρογόνου.
Κι έτσι ο κύκλος μπορεί να συνεχίζεται σε ένα, εντέλει, ανεξάντλητο και αβλαβή κύκλο.
Ας σημειωθεί πως το δευτέριο (2 1Η, ή βαρύ υδρογόνο ) που χρησιμοποιείται κατά το δεύτερο βήμα υπάρχει σε αφθονία στους ωκεανούς και επομένως αν μπορέσουμε να το χρησιμοποιήσουμε θα έχουμε πετύχει μια εξαιρετικά συμφέρουσα τεχνική.
Για όλα τα παραπάνω το ενδιαφέρον για την παραγωγή ενέργειας μέσω πυρηνικής σύντηξης είναι διεθνές και εξελισσόμενο.
Η ιστορικά πρωτοπόρος Ρωσία με μακρά επιστημονική παράδοση ήδη από τη σοβιετική περίοδο, οι Ηνωμένες Πολιτείες, η Κίνα, με ραγδαία άνοδο τα τελευταία 20 χρόνια, η Ιαπωνία, με την υψηλού επιπέδου έρευνα πλάσματος και τη συνεργασία με ΕΕ και ΗΠΑ, η Νότια Κορέα, με πολύ σύγχρονα πειραματικά συστήματα και σημαντικές επιδόσεις στη σταθερότητα πλάσματος, το Ηνωμένο Βασίλειο, η Γαλλία που φιλοξενεί το μεγαλύτερο διεθνές πείραμα σύντηξης, η Γερμανία, η Ευρωπαϊκή Ένωση με κοινό ερευνητικό πλαίσιο και η διακρατική συνεργασία Ινδίας, Καναδά, Αυστραλίας, Ισραήλ συνθέτουν προς ώρας το γαλαξία χωρών που διαγωνίζονται κα ανταγωνίζονται για την επίτευξη της πυρηνικής σύντηξης.

Για όλα αυτά λοιπόν, επειδή δεν μολύνει το περιβάλλον με ραδιενεργά απόβλητα, επειδή είναι φθηνή καθώς το υδρογόνο είναι άφθονο και εντέλει αξόδευτο και επομένως υπόσχεται ανεξάντλητη ενέργεια, η πυρηνική σύντηξη δεν μπορεί παρά για την ανθρωπότητα και σύμπασα την Αριστερά να αποτελεί τον στρατηγικό ενεργειακό της στόχο.
Οι ανελέητοι ανταγωνισμοί αρχίζουν με την επίτευξη του πανανθρώπινου στόχου
«Η Κίνα είναι ήδη κυρίαρχη σε τρεις από τις έξι κρίσιμες τεχνικές διαδικασίες που θα δώσουν ώθηση στη σύντηξη και στην παραγωγή της σε εμπορική κλίμακα».
Αυτή είναι η εκτίμηση, σε πρόσφατη μελέτη, όχι κινέζων εμπειρογνωμόνων αλλά του περίφημου αμερικάνικου Τεχνολογικού Ινστιτούτου της Μασαχουσέτης, του MIT.
«Oι εγκαταστάσεις τους είναι τόσο μεγάλες ώστε κυριολεκτικά μπορείς να τις δεις από το Διάστημα. Στις ΗΠΑ δεν υπάρχει κάτι αντίστοιχο» σημειώνει ο Μπομπ Μουμγκάαρντ, διευθύνων σύμβουλος της Commonwealth Fusion, της αμερικανικής εταιρείας που ιδρύθηκε το 2018 με στόχο την κατασκευή ενός συμπαγούς σταθμού ηλεκτροπαραγωγής θερμοπυρηνικής σύντηξης με βάση την ιδέα του αντιδραστήρα ARC Tokamak (γι’ αυτό παρακάτω).
Σύμφωνα με τους αμερικάνους παρατηρητές, το πρόγραμμα του Πεκίνου για τη σύντηξη ισοδυναμεί με ένα κολοσσιαίο «Σχέδιο Μανχάταν», το σχέδιο των ΗΠΑ παραγωγής της ατομικής βόμβας.
Η Κίνα έχει δεσμεύσει περίπου 13 δισ. δολ. σε μια συστηματική προσπάθεια να διασφαλίσει κυριαρχία στις τεχνικές βιομηχανίες που χρειάζονται για να επιτευχθεί, σε μεγάλη κλίμακα η παραγωγή ενέργειας από σύντηξη. Έχει δε θέσει ως στόχο την επίτευξη μέχρι το 2031 παραγωγής ενέργειας από σύντηξη ικανής να διοχετεύεται στο δίκτυο ηλεκτροδότησης.

Ωστόσο οι δυσκολίες παραγωγής της είναι πρωτότυπες, εξαιρετικά κοστοβόρες αλλά και χρονοβόρες στην αντιμετώπιση τους. Άλλες παραμένουν αινιγματικά γοητευτικές προκλήσεις.
Η δυσκολότερη είναι οι ανάγκες σε υδρογόνο υπό τη μορφή πλάσματος και ταυτόχρονα η άσκηση γιγάντιων ελκτικών πυρηνικών δυνάμεων ικανών να συντήξουν τους πυρήνες.
Πλάσμα είναι μια τέταρτη μορφή της ύλης (στερεή, υγρή, αέρια και πλάσμα) όπου τα υποατομικά σωμάτια (ηλεκτρόνια, νετρόνια, πρωτόνια κ.α.) «περιφέρονται» στο χώρο δίχως να δομούν συγκροτημένα χημικά στοιχεία.
Αν λοιπόν αφαιρέσουμε από το υδρογόνο το μοναδικό του ηλεκτρόνιο τότε στην περιοχή θα υπάρχει νέφος από ελευθέρα ηλεκτρόνια και από απογυμνωμένους πυρήνες υδρογόνου (που αποτελούνται μόνο από ένα πρωτόνιο ο κάθε ένας) δηλαδή θα κυκλοφορούν ελεύθερα ηλεκτρόνια και πρωτόνια.
Τα ελεύθερα αυτά πρωτόνια, δηλαδή οι πυρήνες υδρογόνου, υπό κατάλληλες συνθήκες, μπορεί να συντηχθούν.
Πρόκειται για ένα εξαιρετικά περίπλοκο έργο καθώς για να το φέρουμε σε πέρας, χρειάζονται συνθήκες ήλιου.
Για επίγνωση της δυσκολίας του εγχειρήματος, αξίζει να αναφέρουμε πως ο Ήλιος μας έχει στον πυρήνα του θερμοκρασία 15 εκατομμυρίων βαθμών Κελσίου.
Όπως εύκολα γίνεται κατανοητό τέτοιες μυθικές θερμοκρασίες για να αξιοποιηθούν από τον άνθρωπο απαιτούν συσκευές από πρωτότυπα έως αδύνατον να κατασκευαστούν θερμοαντοχικά υλικά.
Αλλά το λόγο έχει πλέον η βασική έρευνα που προχωρά εντυπωσιακά.
Οι αντιδραστήρες, αντί για θερμότητα (που θα απαιτούσε θερμοαντοχικά υλικά τα οποία θα ήταν αδύνατον να κατασκευαστούν) ως πρωταρχική ενέργεια χρησιμοποιών την ενέργεια μαγνητικού πεδίου. Η ενέργεια αυτή έχει πολύ υψηλές τιμές. Εξ ου και οι πανίσχυροι ηλεκτρομαγνήτες των πυρηνικών αντιδραστήρων και η ονομασία της σύντηξης, αυτής της ευφυούς σύλληψης, «ψυχρή σύντηξη».
Αυτή ακριβώς είναι η μέθοδος tokamak.
Αυτή τη μέθοδο χρησιμοποιείται στον πυρηνικό αντιδραστήρα – Τεχνητό Ήλιο tokamak της Κίνας ο οποίος μπόρεσε να διατηρήσει το καυτό πλάσμα θερμοκρασίας 120 εκατομμυρίων βαθμών Κελσίου για 17,6 λεπτά, 1.056 ολόκληρα δευτερόλεπτα.
Λίγο πριν, το 2020, ο αντιδραστήρας πυρηνικής σύντηξης της Νότιας Κορέας, KSTAR, διατήρησε τη θερμοκρασία σε καυτό πλάσμα στους 100 εκατομμύρια βαθμούς Κελσίου, δέκα φορές πάνω από τη θερμοκρασία ήλιου, για 30 ολόκληρα δευτερόλεπτα.
Κι έτσι ο τεχνητός Ήλιος της Κίνας και της Κορέας ξεπέρασαν ακόμη και τον πραγματικό ήλιο.
Στις εξελίξεις αυτές προστίθενται οι εξελίξεις στην Ευρώπη. Ο επιδοτούμενος από την Ευρωπαϊκή Ένωση ισχυρός αντιδραστήρας που κατασκευάζεται στη Γαλλία αναμένεται να δώσει τεράστια ώθηση στην όλη υπόθεση. Επίσης ο αντιδραστήρας πυρηνικής σύντηξης στο Oxford του Ηνωμένου Βασιλείου κατάφερε να παράγει το υψηλότερο επίπεδο ενέργειας που έχει επιτευχθεί ποτέ από τη σύντηξη των ατόμων.
Η πορεία είναι εντυπωσιακή, οι αναταράξεις είναι τεκτονικές
Φυσικά ο στόχος είναι η σταθερή λειτουργία ενός αντιδραστήρα για χιλιάδες δευτερόλεπτα, στην ουσία για διαρκή και συνεχή λειτουργία, ώστε η μελλοντική παραγωγή ενέργειας να ανταποκρίνεται σε βιομηχανική κλίμακα.
Αλλά αν μέχρι σήμερα πετύχαμε τη λειτουργία για χίλια και πάνω δευτερόλεπτα γιατί να μην μπορέσουμε τελικά να καταφέρουμε την απεριόριστη λειτουργία;
Αλλά η σύντηξη δεν είναι ακόμα εμπορικά ώριμη. Απαιτεί δεκαετίες. Έχει τεράστιο ρίσκο.
Παρόλα αυτά η καπιταλιστική αγορά, κρατική και ιδιωτική, επενδύουν σε κάτι προς ώρας «αβέβαιο και μη κερδοφόρο»;
Η ερμηνεία βρίσκεται στο γεγονός πως δεν πρόκειται για «αγορά», αλλά για στρατηγική επένδυση κράτους – κεφαλαίου. Το κράτος πληρώνει το ρίσκο, το κεφάλαιο καρπώνεται τη μελλοντική πρόσοδο. Το μοτίβο είναι κλασσικό:
- Δημόσια, κατά μεγάλο μέρος, χρηματοδότηση της έρευνας
- ιδιωτικοποίηση των αποτελεσμάτων.
Και μπορεί προς το παρόν η πυρηνική σύντηξη – ή αλλιώς η ανεξάντλητη πηγή ενέργειας- να παραμένει «στόχος προς επίτευξη».
Η κατάσταση όμως αλλάζει καθώς «στο κόλπο» μπαίνει πλέον και η τεχνητή νοημοσύνη η οποία αναλαμβάνει τον έλεγχο στην έρευνα.
Σε μία κοινή προσπάθεια από το Swiss PlasmaCenter (SPC) της EPFL και την εταιρία τεχνητής νοημοσύνης DeepMind, χρησιμοποιήθηκε ένα σύστημα βαθιάς ενισχυτικής εκμάθησης (RL) για να μελετήσει η τεχνητή νοημοσύνη τις αλλαγές στη συμπεριφορά του πλάσματος σε έναν αντιδραστήρα tokamak.
Η αινιγματική διαδρομή προς ένα άλμα στο πεδίο της ενέργειας φαίνεται πως είναι σε πορεία επίλυσης των μυστηρίων της.
Φυσικά, η επίτευξη της πυρηνικής σύντηξης θα προκαλέσει τεκτονικές (επίσης) γεωπολιτικές ανακατατάξεις. Π.χ. οι χώρες του Κόλπου θα πάψουν να έχουν την οικονομική και γεωπολιτική σημασία που έχουν, οι πετρελαιοπαραγωγές χώρες τη βαρύτητα που έχουν, τα μονοπώλια πετρελαίου και αερίου τον βαρύνοντα λόγο ύπαρξης που έχουν.
Τα τελευταία είναι προφανές πως θα αντιδράσουν στην πορεία της έρευνας και στον τρόπο χρήσης των αποτελεσμάτων της.
Ωστόσο, το ίδιο το πεπερασμένο των γαιανθράκων σε συνδυασμό με τις απαιτήσεις της καπιταλιστικής παραγωγής απαιτούν τολμηρές έρευνες και στο ζήτημα της ενέργειας.
Από τη μια λοιπόν το μαρτύριο της αστικής τάξης «να βεβηλώνει», «να επαναστατικοποιεί διαρκώς τις παραγωγικές δυνάμεις» προκειμένου να καλύψει τις μεσοπρόθεσμες και μακροπρόθεσμες παραγωγικές της ανάγκες και από την άλλη η ένταξη, ταυτόχρονα, αυτής της διαδικασίας στους ανελέητους και καταστροφικούς ενδοκαπιταλιστικούς ανταγωνισμούς. Από τη μια αστικά κράτη και μεγάλα κονσόρτσιουμ που προσδοκούν μυθώδη κέρδη με την ιδιοποίηση των επιτευγμάτων της επιστήμης και τη διαστροφή τους από τους νόμους της καπιταλιστικής αγοράς και από τη άλλη τα «παλιά» μονοπώλια που σαμποτάρουν, περιορίζουν, καθυστερούν τη νέα άφιξη.
Σε αυτή τον ωκεανό των αντιθέσεων και στο μεγάλο θέμα της ενέργειας κινούνται οι λαοί και τα κράτη στη σύγχρονη εποχή.

